How to Select Medium Voltage Cable?

In MV systems (typically 3.3kV to 33kV), the selection starts with the U0/U rating.
U0: Rated power-frequency voltage between conductor and screen/earth.
U: Rated power-frequency voltage between conductors.
Insulation Levels (100% vs. 133%):
100% Level: Used in systems with grounded neutrals where faults are cleared within 1 minute.
133% Level: Required for ungrounded or impedance-grounded systems where a phase-to-ground fault may persist for up to 1 hour. This requires thicker insulation to withstand the voltage stress on the healthy phases.
Selecting the cross-sectional area is not just about the load; it must satisfy three distinct technical constraints:
The cable must handle the continuous load without exceeding its operating temperature (typically 90°C for XLPE).
Derating Factors: You must apply correction factors for ambient temperature, soil thermal resistivity (for buried cables), and the proximity of other cables (grouping factors).
The conductor must withstand the massive heat generated during a fault until the protection clears it.
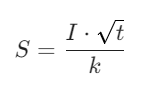
The Formula:

Where S is the cross-section (mm2), I is the fault current, t is the duration (seconds), and k is a material constant (e.g., 143 for XLPE copper).
For long-distance runs, ensure the voltage drop at the terminal does not exceed statutory limits (usually 3% to 5%).
MV cables are multi-layered precision components. Choosing the right "build" is essential for longevity.
| Component | Options | Engineering Consideration |
| Conductor | Copper (Cu) vs. Aluminum (Al) | Cu offers better conductivity and smaller diameters; Al is cost-effective and lighter for long spans. |
| Insulation | XLPE vs. EPR | XLPE is the industry standard due to low dielectric loss; EPR is more flexible and resistant to partial discharge. |
| Shielding | Copper Tape (CTS) vs. Wire (CWS) | Wire screens (CWS) generally provide better performance for high-magnitude earth fault currents. |
| Armoring | STA / SWA / AWA | Crucial: Single-core cables must use Aluminum Wire Armor (AWA) to prevent magnetic heating (hysteresis losses) associated with steel. |
| Outer Sheath | PVC / PE / LSZH | PE is superior for moisture resistance in direct burial; LSZH (Low Smoke Zero Halogen) is mandatory for indoor/tunnel safety. |
Beyond the electrical specs, consider these "real-world" variables:
(1) Water Blocking: For wet environments, specify cables with longitudinal water blocking (water-swellable tapes) and radial water blocking (metal-plastic laminates) to prevent "water trees" in the insulation.
(2) Bending Radius: MV cables are stiff. Ensure the installation path accommodates a bending radius typically 12–15 times the cable's overall diameter.
(3) Partial Discharge (PD): High-quality selection involves verifying that the manufacturer performs 100% factory PD testing, as this is the primary indicator of long-term insulation health.
1) System Check: Identify system voltage (U0/U), grounding type, and fault current duration.
2) Load Profile: Calculate continuous current and apply necessary derating factors based on the installation environment.
3) Short Circuit: Verify that the conductor and the metallic screen can handle the expected fault energy.
4) Mechanical/Chemical: Determine if armoring or specific sheath materials (e.g., anti-termite or oil-resistant) are required.
Contact: Lisa
Phone: +86-13775603923
E-mail: lisa@shengcable.com
Whatsapp:+8613775603923
Add: No.7577 of Hunan Rd., Pudong New Area Shanghai 201314, China